9月24日,一份《恒大集团关于恳请支持重大资产重组项目的情况报告》在各大地产群广为流传。报告中,恒大集团恳请广东省政府支持恒大地产与深房集团的资产重组。
关于恳请支持重大资产重组项目的情况报告
广东省人民政府:
首先,感谢省委省政府一直以来对恒大集团的关心和支持。
为贯彻落实党中央、国务院《关于深化国有企业改革的指导意见》的有关精神,响应供给侧结构性改革,在广东省委省政府的关心和深圳市委市政府的指导支持下,上市公司深圳经济特区房地产(集团)股份有限公司(简称“深深房”)与恒大地产集团有限公司(简称“恒大地产”)进行同行业间的重大资产重组,以市场化手段深化国有企业改革。现将具体情况汇报如下:
一、本次重组基本情况
2016年10月3日,恒大地产与深深房签署《关于重组上市的合作协议》,深深房发行A股股份购买恒大地产100%股权,恒大集团将成为深深房的控股股东。
2017年6月20日,香港联交所正式同意恒大集团分拆恒大地产在A股重组上市申请,这是香港联交所审批通过的规模最大的一次主业分拆。
从2016年启动重组开始,深圳市政府、深深房、恒大地产与证监会主管领导及相关部门多次召开专题会议沟通论证,均认为本次重组符合相关法律法规,是推动国企改革的重要举措,有利于提升上市公司质量,激发资本市场活力。
2017年3月,按照中国证监会和深交所的有关法规要求恒大地产引入1300亿元战略投资。
本次重组属房地产同行业的兼并重组和存量房地产的优化整合,不新增地产上市公司数量,不进行任何直接和间接融资。同时,恒大集团承诺锁定股份5年不减持、不质押融资,且承诺上市公司5年内每年现金分红比例不低于68%。
二、恒大地产执行房地产调控政策情况
恒大地产始终坚定执行国家“房住不炒”“稳地价”“稳房价”“稳预期”“防风险”等各项房地产调控政策。
1、秉承民生地产理念,产品定位满足刚性需求
公司准确把握“住房居住属性”,产品中140平米以下的普通住房占比96%。2020年上半年精装修住宅产品平均售价9030元/平米,扣除精装修成本后为8020元/平米。
2、坚持房住不炒,调控以来一直保持销售价格稳定恒大地产不捂盘惜售、不哄抬房价。2017年、2018年、2019年、2020年上半年,恒大住宅销售价格分别为9960元/平米10515元/平米、10281元/平米、9030元/平米,已交楼项目入住率达91.6%,严格贯彻了“稳房价”“稳预期”“房住不炒”的政策要求。
3、坚决不國地、不炒地、不抬高地价
恒大地产严格规定,招拍挂项目拿地价格的溢价率不得超过20%,且所有项目在取得土地后必须立即依法依规开工建设。招拍挂拿地的平均溢价率2018年为14%、2019年11%、2020年上半年10.7%,自房地产调控以来没有拿过任何一个地王。同时,积极助力化解行业和金融风险,新增土储中54%为并购经营不良的房地产企业项目和金融机构不良资产,盘活项目200多个。
4、主动降负债,促进企业健康发展
通过引入战略投资者、提前偿还债务、控制拿地规模等措施,公司资产负债率由2016年底的92.9%降至2019年末的77.9%。
三、恒大地产健康发展的基本情况
恒大地产位居中国房地产企业综合实力第一名。在引入1300亿元战略投资增加资本金后,恒大地产经营规模取得较大幅度增长,销售额从2016年的3734亿元,增长到2019年的6011亿元。
恒大集团目前世界500强排名第152位,成立24年来,共计借款22360笔,涉及金额34912亿元,从未出现一笔借款展期,均在借款到期前按时还本付息。
四、如果恒大地产本次重组未如期完成,可能引发一系列系统性风险
1、恒大地产资本金大幅减少,现金流断裂如不能按时完成重组,公司须在2021年1月31日前偿还战略投资者1300亿元本金并支付137亿分红。1300亿由权益变为负债,资产负债率将大幅攀升至90%以上,可能导致恒大地产现金流断裂。
2、恒大地产现金流断裂将导致恒大集团无法偿债,进而引发金融系统性风险
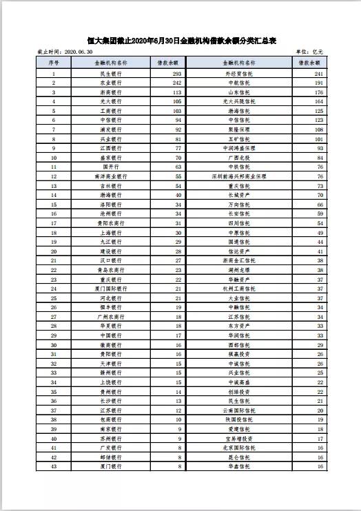
截至2020年6月30日,恒大集团有息负债余额8355亿元。
涉及银行类金融机构128家,借款余额2323亿元,其中境内银行类金融机构171家,借款余额2163亿元,主要为民生银行293亿元、农业银行242亿元、浙商银行107亿元、光大银行100亿元、工商银行94亿元、中信银行94亿元等。涉及非银行类金融机构121家,借款余额3684亿元,主要为光大信托278亿元、山东信托176亿元、外经贸信托167亿元、中航信托133亿元中信信托126亿元等。涉及境内公司债券496亿元,境外债券1852亿元。
如果恒大地产不能按时完成重组,可能导致其现金流断裂,从而引发恒大集团在相关银行、信托、基金等金融机构及债券市场的交叉违约,进而产生金融系统性风险。
3、严重影响上下游企业正常经营,不利于经济健康发展目前公司上下游合作企业达到8441家,若恒大地产现金流断裂,将直接影响上下游企业的正常经营、部分企业甚至面临破产风险,对经济平稳健康发展造成严重影响。
4、严重影响就业和社会稳定
截至2020年6月30日,恒大集团拥有792个项目,覆盖229个城市,在建工程1.23亿平方米,公司员工14万名,解决就业317万人。若因恒大地产现金流断裂引发恒大集团陷入危机,将直接影响331万人的稳定就业。同时,已售未交楼的61.7万套商品房的204万业主面临工程烂尾或无法收楼的风险,严重影响社会稳定。
5、引发大规模群体性维权,严重影响资本市场健康稳定如不能按时完成重组,将导致深深房中小股东因停牌四年而利益受到巨大损害,引发对交易各方、监管部门的法律诉讼或维权行为。
深深房与恒大地产重大资产重组,符合国务院关于区域性国资国企综合改革试点精神,对于推进国企混改,促进资本市场健康发展具有重要意义。由于时间紧迫,恳请省政府予以关注、协调推进。
特此汇报。












